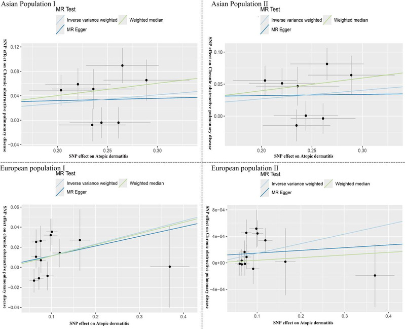
近期,yl1111永利集团流行病与卫生统计学系研究生王云云以第一作者在ESI药理学与毒理学期刊《International Immunopharmacology》(中科院大类二区,IF: 4.8)上发表题为“Genetic evidence supporting causality between atopic dermatitis and chronic obstructive pulmonary disease”的学术论文。该研究通过孟德尔随机化方法从遗传学角度揭示了不同种族人群中特应性皮炎(Atopic dermatitis, AD)与慢性阻塞性肺疾病(Chronic obstructive pulmonary disease, COPD)之间的潜在因果关系。
该研究分别针对东亚和欧洲人群开展探索工作,并且在每个种族人群中均基于两套全基因组关联数据(GWAS)完成因果关系的分析和验证。这一跨种族一致性的结果显著提升了研究结论的可靠性和普适性。本研究还开展了多变量的孟德尔随机化研究,经BMI和吸烟因素调整后,AD与COPD之间的遗传学因果关联依旧成立。此外,反向孟德尔随机化分析也排除了反向因果的可能,进一步强化的AD与COPD因果方向的确定性。本研究提示,AD患者可能需加强呼吸系统健康监测,早期干预以降低继发COPD的风险。未来基于多种族大样本人群的深入研究,以及相关分子生物学机制的探索,将有助于更全面地阐明AD与COPD之间的因果关联及其潜在生物学通路。
yl1111永利集团硕士研究生王云云为本文第一作者,硕士研究生赵晓烨、王睿翔为共同第一作者;田甜副教授、肖静教授为本文共同通讯作者。(王云云)
论文链接:https://pubmed.ncbi.nlm.nih.gov/40220623/



